
- general public
- Main menu
Kids
General Information
With a population of approximately 460 million citizens and 93 million children in the EU 13.000 children and adolescent are newly diagnosed annually (average cancer childhood incidence rate of 140/ Million children per year) with an increasing tendency. During the last four decades the outcome of children with cancer has dramatically improved. Nowadays about 80 % of children with cancer will survive. Most important for this success story are prospective clinical trials. In Germany e.g. more than 95 % of children are enrolled in such trials, leading to the highest level of quality control that is possible.
Within Europe the distribution and the incidence of childhood tumours differ from south to north and west to east.
Figure 1: Variety of childhood tumour (age-standardized) Incidences in Europe per Million children
[Source: C.A. Stiller at al., Geographical pattern of childhood cancer incidence in Europe 1988-1997, EJC 24, (2006)]
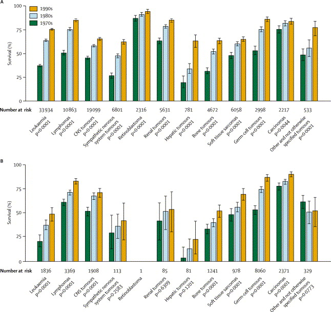
Figure 2: 5 Year survival rates of children (A) and adolescent (B) in Europe over the last 40 years
[Source: Geographical patterns and time trends of cancer incidence and survival among children and adolescents in Europe since the 1970s (the ACCIS project): an epidemiological study. The Lancet, Volume 364, Issue 9451, Pages 2097-2105 E. Steliarova-Foucher, C. Stiller, P. Kaatsch, F. Berrino, J. Coebergh, B. Lacour, M. Perkin]
A source for data on incidence and survival of children and adolescents with cancer can be found at: www-dep.iarc.fr/accis/data.htm
These data are collected by the members of European Network of Cancer Registries (ENCR), compiled and tabulated at the International Agency for Research on Cancer (IARC) and funded by the European Commission in the "Europe Against Cancer Programme" during 1999-2003. To the benefit of all, the tables are freely accessible. When publishing any of these data, please acknowledge this common effort by citing the following web-page address: www-dep.iarc.fr/accis.htm.
In Germany annual reports of the German cancer registry can be found at: www.kinderkrebsregister.de .
For non professionals it is nearly impossible to find relevant information in the World Wide Web (WWW). In that respect ACGT provides a list of trusted links related to the following topics:
